PHY 491 - Files
Back
MATLAB
KdvZK2.m Zabusky-Kruskal for u_t+6uu_x+u_xxx = 0
funckdv.m - One soliton solution
twosol.m - Two soliton solution
KdVper2.m - Reproduction of ZK Figure
SpectralKdV.m - Spectral Method for KdV
SGenns.m, SGstep.m - Sine-Gordon routine from Enns
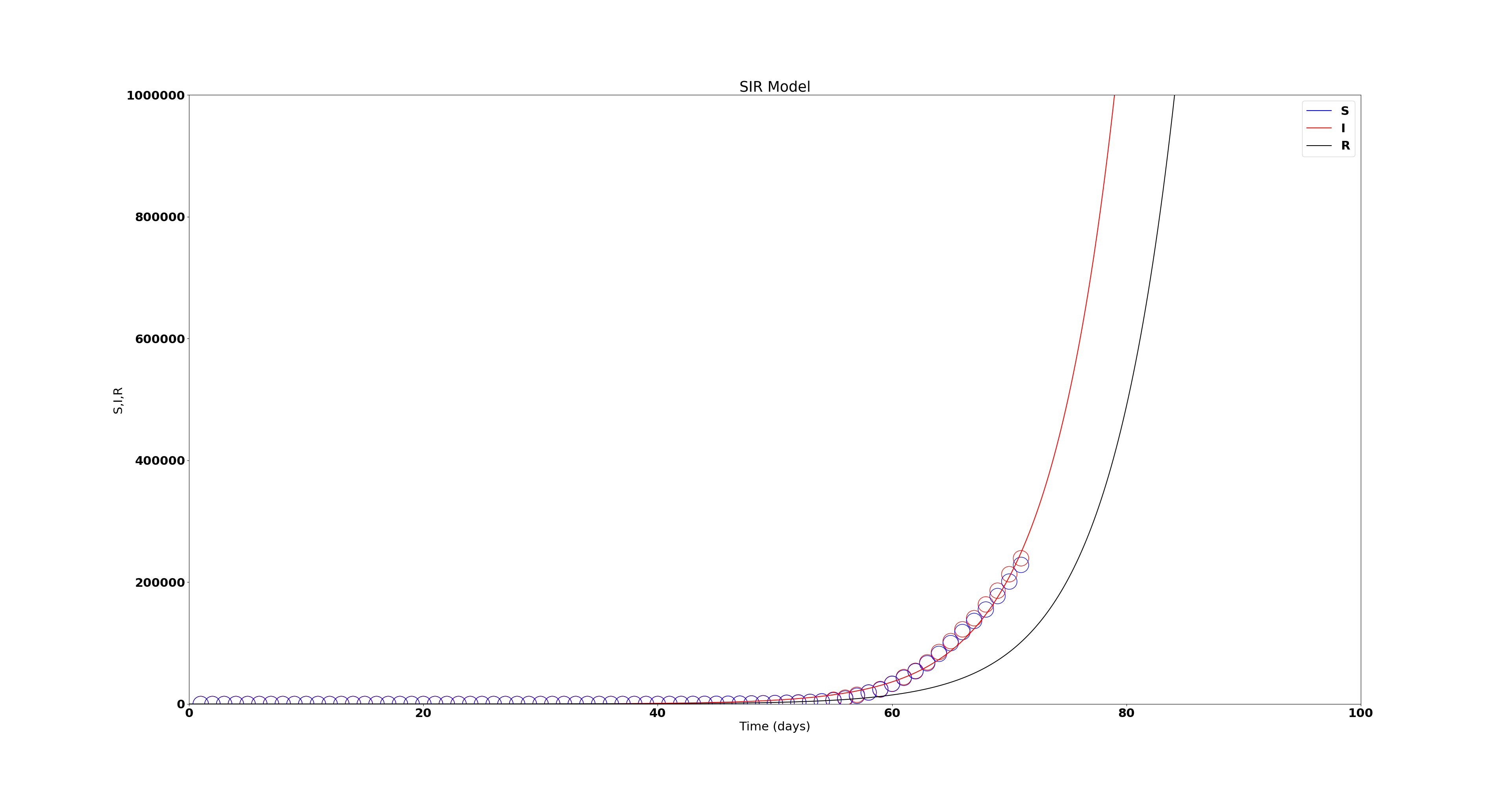
SIR Model
sircov.m, sircovf.m
Fitting data COVID19data.xlsx
To sech^2 covfit.m
To SIR model covfit2.m, getsir,m, sircov.m
SEIR Model
seir.m, seirf.m
seircov.m uses seirf.m and data
Other Data Sources
Power BI Dashboard
Johns Hopkins files and Map
US Counties Data
MATLAB Code to read data
Python
dfield.py - Direction field for ODE system
logdelay.py - Logistic Delay
smap.py - Standard Map
henon.py - Henon map
Henonc.py - Controlled Henon map
Duffing.py - Duffing Attractor
KdVZK.py - KdV similar to the MATLAB version
SGenns.py, sineGordon.gif - Sine-Gordon routine from Enns
HeatEquationAnimate.ipynb
SIR Model - SIRcov.py, COVID19pydata.xlsx
Plots pySIR.png, CovidPy.png
Maple
SIR.mws
Simulink -
SIR Model - Simulink Model, Covidplot (run after Simulink) uses COVID19data.xlsx
Plots Covidplot.jpg, SIRmodel.jpg
See http://people.uncw.edu/hermanr/mat361/Simulink/index.htm
Top